

Zetetic Astronomy, by 'Parallax' (pseud. Samuel Birley Rowbotham), [1881], at sacred-texts.com
A SOLAR eclipse is the result simply of the moon passing between the sun and the observer on earth. But that an eclipse of the moon arises from a shadow of the earth, is a statement in every respect, because unproved, unsatisfactory. The earth has been proved to be without orbital or axial motion; and, therefore, it could never come between the sun and the moon. The earth is also proved to be a plane, always underneath the sun and moon; and, therefore, to speak of its intercepting the light of the sun, and thus casting its own shadow on the moon, is to say that which is physically impossible.
Besides the above difficulties or incompatibilities, many cases are on record of the sun and moon being eclipsed when both were above the horizon. The sun, the earth, and the moon, not in a straight line, but the earth below the sun and moon--out of the reach or direction of both--and yet a lunar eclipse has occurred! Is it possible that a "shadow" of the earth could be thrown upon the moon, when sun, earth, and moon, were not in the same line? The difficulty has been met by assuming the influence of refraction, as in the following quotations:--
"On some occasions the horizontal refraction amounts to 36 or 37 minutes, and generally to about 33 minutes, which is
equal to the diameter of the sun or moon; and, therefore, the whole disc of the sun or moon will appear above the horizon, both at rising and setting, although actually below. This is the reason that the full moon has sometimes been seen above the horizon before the sun was set. A remarkable instance of this kind was observed at Paris, on the 19th of July, 1750, when the moon appeared visibly eclipsed, while the sun was distinctly to be seen above the horizon." 1
"On the 20th of April, 1837, the moon appeared to rise eclipsed before the sun had set. The same phenomenon was observed on the 20th of September, 1717." 2
"In the lunar eclipses of July 17th, 1590; November 3rd, 1648; June 16th, 1666; and May 26th, 1668; the moon rose eclipsed whilst the sun was still apparently above the horizon. Those horizontal eclipses were noticed as early as the time of Pliny." 3
On the 17th of January, 1870, a similar phenomenon occurred; .and again in July of the same year. 4
The only explanation which has been given of this phenomenon is the refraction caused by the earth's atmosphere. This, at first sight, is a plausible and fairly satisfactory solution; but on carefully examining the subject, it is found to be utterly inadequate; and those who have recourse to it cannot be aware that the refraction of an object and that of a shadow are in opposite directions. An object by refraction is bent upwards; but the shadow of
any object is bent downwards, as will be seen by the following very simple experiment. Take a plain white shallow basin, and place it ten or twelve inches from a light in such a position that the shadow of the edge of the basin touches the centre of the bottom. Hold a rod vertically over and on the edge of the shadow, to denote its true position. Now let water be gradually poured into the basin, and the shadow will be seen to recede or shorten inwards and downwards; but if a rod or a spoon is allowed to rest, with its upper end towards the light, and the lower end in the bottom of the vessel, it will be seen, as the water is poured in, to bend upwards--thus proving that if refraction operated at all, it would do so by elevating the moon above its true position, and throwing the earth's shadow downwards, or directly away from the moon's surface. Hence it is clear that a lunar eclipse by a shadow of the earth is an utter impossibility.
The moon's entire surface, or that portion of it which is presented to the earth, has also been distinctly seen during the whole time of a total lunar eclipse. This also is entirely incompatible with the doctrine that an eclipse of the moon is the result of a shadow of the earth passing over its surface.
Mr. Walker, who observed the lunar eclipse of March 19th, 1848, near Collumpton, says:--
"The appearances were as usual till twenty minutes past nine; at that period, and for the space of the next hour, instead of an eclipse, or the shadow (umbra) of the earth being the cause of the total obscurity of the moon, the whole phase of that body became very quickly and most beautifully illuminated, and
assumed the appearance of the glowing heat of fire from the furnace, rather tinged with a deep red. . . . The whole disc of the moon being as perfect with light as if there had been no eclipse whatever! . . . . The moon positively gave good light from its disc during the total eclipse." 1
The following case, although not exactly similar to the last, is worth recording here, as showing that some other cause existed than the earth's shadow to produce a lunar eclipse:--
"EXTRAORDINARY PHENOMENA ATTENDING THE ECLIPSE.--On Saturday evening, February 27th, 1858, at Brussels, the eclipse was seen by several English philosophers who happened to be present. It was attended by a very remarkable appearance, which Dr. Forster said was wholly inexplicable on any laws of natural philosophy with which he was acquainted. The moment before contact a small dusky spot appeared on the moon's surface, and during the whole of the eclipse, a reddish-brown fringe, or penumbra, projected above the shadow of the earth. Another thing still more remarkable was the apparent irregularity of the edge of the shadow. Three persons, one of them an astronomer, were witnesses of these curious phenomena, which no law of refraction can in any way explain." 2
"LUNAR ECLIPSE OF FEBRUARY 6TH, 1860.--The only remarkable feature in this eclipse was the visibility--it might almost be termed the brilliancy of Aristarchus. Kepler, and other spots, were comparatively lost, or at most, barely discernible, as soon as they became enveloped in the shadow; but not so Aristarchus, which evidently shone either by intrinsic or retained illumination." 3
"The moon has sometimes shone during a total eclipse with an almost unaccountable distinctness. On December 22nd, 1703, the moon, when totally immersed in the earth's shadow, was visible at Avignon by a ruddy light of such brilliancy that one might have imagined her body to be transparent, and to be enlightened from behind; and on March 19th, 1848, it is stated that so bright was the moon's surface during its total immersion,, that many persons could not be persuaded that it was eclipsed. Mr. Forster, of Bruges, states, in an account of that eclipse, that the light and dark places on the moon's surface could be almost as well made out as in an ordinary dull moonlight night.
"Sometimes, in a total lunar eclipse, the moon will appear quite obscure in some parts of its surface, and in other parts will exhibit a high degree of illumination. . . . To a certain extent I witnessed some of these phenomena, during the merely partial eclipse of February 7th, 1860. . . . I prepared, during the afternoon of February 6th, for witnessing the. eclipse, without any distinct expectation of seeing much worthy of note. I knew, however, that upwards of eight-tenths of the. disc would be covered, and I was anxious to observe with what degree of distinctness the eclipsed portion could be viewed, partly as an interesting fact, and partly with a view of verifying or discovering the weak points of an engraving (in which I am concerned) of a lunar eclipse. After seeing the increasing darkness of the penumbra softly merging into the true shadow, at the commencement of the eclipse (about 1 o'clock a.m., Greenwich time), I proceeded with pencil and paper, dimly lighted by a distant lamp, to note by name the different lunar mountains and plains (the so-called seas), over which the shadow passed. . . . During the first hour and ten minutes I had seen nothing unexpected. . . . I had repeatedly written down my observations of the remarkable clearness with which the
moon's eclipsed outline could be seen, both with the naked eye and with the telescope. At 1 hour 58 minutes, however, I suddenly noted the ruddy colour of a portion of the moon. I may as well give my notes in the original words, as copied next day in a more connected form:
"'1 hour 58 minutes, Greenwich time.--I am suddenly struck by the fact that the whole of the western seas of the moon are showing through the shadow with singular sharpness, and that the whole region where they lie has assumed a decidedly reddish tinge, attaining its greatest brightness at a sort of temporary polar region, having 'Endymion' about the position of its imaginary pole. I particularly notice that the 'Lake of Sleep' has disappeared in this brightness, instead of standing out in a darker shade. And I notice that this so-called polar region is not parallel with the rim of the shadow, but rather west of it.
"'2 hours 15 minutes.--Some clouds, though very thin and transparent, now intervene.
"'2 hours 20 minutes.--The sky is now clear. How extra-ordinary is the appearance of the moon! Reddish is not the word to express it; it is red--red hot! I endeavour to think of various red objects with which to compare it, and nothing seems so like as a red-hot penny--a red-hot penny, with a little white-hot piece at its lower edge, standing out against a dark blue background; only it is evidently not a mere disc, but beautifully rounded by shading. Such is its appearance with the naked eye; with the telescope, its surface varies more in tint than with the naked eye, and is not of quite so bright a red as when thus viewed. The redness continues to be most perceptible at a distance from the shadow's southern edge, and to be greatest about the region of 'Endymion.' The 'Hercynian Mountains' (north of 'Grimaldus') are, however, of rather a bright red, and 'Grimaldus' shows well. 'Mare
[paragraph continues] Crisium' and the western seas, are wonderfully distinct. Not a trace to be seen of 'Aristarchus' or 'Plato.'
"'2 hours 27 minutes.--It is now nearly the middle of the eclipse. The red colour is very brilliant to the naked eye. . . . After this, I noticed a progressive change of tint in the moon.
"'2 hours 50 minutes.--The moon does not seem to the naked eye of so bright a red as before; and again I am reminded by its tint, of red-hot copper, which has begun to cool. The whole of 'Grimaldi' is now uncovered. Through the telescope I notice a decided grey shade, at the lower part of the eclipsed portion, and the various small craters give it a stippled effect, like the old aqua-tint engravings. The upper part is reddish; but two graceful blueish curves, like horns, mark the form of the 'Hercynian Mountains,' and the bright region on the other limb of the moon. These are visible also to the naked eye.
"'At 3 hours 5 minutes the redness had almost disappeared; a very few minutes afterwards no trace of it remained; and ere long clouds came on. I watched the moon, however, occasionally gaining a glimpse of its disc, till a quarter to 4 o'clock, when, for the last time on that occasion, I saw it faintly appearing through the clouds, nearly a full moon again; and then I took leave of it, feeling amply repaid for my vigil by the beautiful spectacle which I had seen.'" 1
At the time of totality (the lunar eclipse of June 1st, 1863), the moon presented a soft, woolly appearance, apparently more globular in form than when fully illuminated. Traces of the larger and brighter mountains were visible at the time of totality, and particularly the bright rays proceeding from 'Tycho,' 'Kepler,' and 'Aristarchus.' . . . . At first, when the obscured part was of small dimensions, it was of an iron grey
tint, but as it approached totality, the reddish light became so apparent that it was remarked that the moon 'seemed to be on fire;' and when the totality had commenced, it certainly looked like a fire smouldering in its ashes, and almost going out." 1
In ordinary cases the disc appears, during a total eclipse, of a reddish hue, the colour being, indeed, of the most various degrees of intensity, passing, even when the moon is far removed from the earth into a fiery glowing red. Whilst I was lying at anchor (29th of March, 1801), off the Island of Baru, not far from Cartagena de Indias, and observing a total lunar eclipse, I was exceedingly struck by seeing how much brighter the reddened disc of the moon appears in the sky of the tropics than in my northern native land." 2
"The fiery, coal-glowing colour of the darkened (eclipsed) moon. . . . The change is from black to red, and blueish." 3
"Great was the confusion created in the camp of Vitellius by the eclipse which took place that night; yet it was not so much the eclipse itself--although to minds already disturbed this might appear ominous of misfortune--as it was the circumstance of the moon's varying colours--blood-red, black, and other mournful hues--which filled their souls with uneasy apprehensions." 4
The several cases above advanced are logically destructive of the notion that an eclipse of the moon arises from a shadow of the earth. As before stated, the earth is proved to be a plane, without motion, and always several
hundred miles below the sun and moon, and cannot, by any known possibility come between them. It cannot therefore intercept the light of the sun, and throw its own shadow upon the moon. If such a thing were a natural possibility, how could the moon continue to shine during the whole or any considerable part of the period of its passage through the dark shadow of the earth? Refraction, or what has been called "Earth light," will not aid in the explanation; because the light of the moon is at such times "like the glowing heat of firer tinged with deep red." "Reddish is not the word to express it, it was red--red hot." "The reddish light made it, seem to be on fire." "It looked like a fire smouldering in its ashes." "Its tint was that of red-hot copper." The sun light is of an entirely different colour to that of the eclipsed moon; and it is contrary to known optical principles to say that light when refracted or reflected, or both simultaneously, is thereby changed in colour. If a light of a given colour is seen through a great depth of a comparatively dense medium, as the sun is often seen in winter through the fog and vapour of the atmosphere, it appears of a different colour, and generally of such as that which the moon so often gives during a total eclipse; but a shadow cannot produce any such effect, as it is, in fact, not an entity at all, but simply the absence of light.
From the facts and phenomena already advanced, we cannot draw any other conclusion than that the moon is obscured by some kind of semi-transparent body passing before it; and through which the luminous surface is visible: the luminosity changed in colour by the density
of the intervening object. This conclusion is forced upon, us by the evidence; but it involves the admission that the moon shines with light of its own--that it is not a reflector of the sun's light, but absolutely self-luminous. Although this admission is logically compulsory, it will be useful and strictly Zetetic to collect all the evidence possible which bears upon it.
1st. A reflector is a plane or concave surface, which gives off or returns what it receives:--
If snow or ice, or any artificial freezing mixture is similarly placed, cold will be reflected.
If light of any given colour is placed in the same way, the same colour of light will be reflected.
If a given sound is produced, the same tone or pitch will be reflected.
A reflector will not throw off cold when heat is placed before it; nor heat when cold is presented. If a red light is received, red light will be returned, not blue or yellow. If the note C is sounded upon any musical instrument, a reflector will not return the note D or G, but precisely the same note, altered only in degree or intensity.
If the moon is a reflector of the sun's light, she could not radiate or throw down upon the earth any other light than such as she first receives from the sun. No difference could exist in the quality or character of the light; and it
could not possibly differ in any other respect than that of intensity or quantity. It has been asserted in opposition to the above, that the moon might absorb some of the rays of light from the sun and reflect only the remaining rays. To this it is replied that absorption means speedy saturation: a piece of blotting paper, or a lump of hard sugar, or a sponge when brought into contact with any fluid or gaseous substance, would only absorb for a short time; it would quickly become saturated, filled to repletion, and from that moment would cease to absorb, and ever afterwards could only reflect or throw back whatever was projected upon it. So the moon, if an object without light of her own, might at the beginning of her existence absorb the sun's ray's, and, fixing some, might return the others; but as already shown, she could only absorb to saturation, which would occur in a very short time; and from this point of saturation to the present moment she could not have been other than a reflector--a reflector, too, of all which she receives.
We have then, in order to know whether the moon is a reflector, merely to ascertain whether the light which we receive from her is, or is not the same, in .character as that received from the sun.
1st. The sun's light is generally, and in an ordinary state of the atmosphere, of an oppressive, fierce, semi-golden, pyro-phosphorescent character; while that of the moon is pale, silvery and gentle; and when shining most brightly is mild and non-pyrotic.
2nd. The sun's light is warm, drying, and preservative, or
antiseptic; animal and vegetable substances exposed to it soon dry, coagulate, shrink, and lose their tendency to decompose and become putrid. Hence grapes and other fruits by long exposure to sunlight become solid, and partially candied and preserved; as instanced in raisins, prunes, dates, and ordinary grocers' currants. Hence, too, fish and flesh by similar exposure lose their gaseous and other volatile constituents and by coagulation of their albuminous and other compounds become firm and dry, and less liable to decay; in this way various kinds of fish and flesh well known to travellers are preserved for use.
The light of the moon is damp, cold, and powerfully septic; and animal and nitrogenous vegetable substances. exposed to it soon show symptoms of putrefaction. Even living creatures by long exposure to the moon's rays, become morbidly affected. It is a common thing on board vessels going through tropical regions, for written or printed notices to be issued, prohibiting persons from sleeping on deck exposed to full moonlight, experience having proved that such exposure is often followed by injurious consequences.
"It is said that the moon has a pernicious effect upon those who, in the East, sleep in its beams; and that fish having been exposed to them for only one night, becomes most injurious to those who eat it." 1
"At Peckham Rye, a boy named Lowry has entirely lost his sight by sleeping in a field in the bright moonlight." 2
"If we place in an exposed position two pieces of meat, and one of them be subjected to the moon's rays, while the other is
protected from them by a screen or a cover, the former will be tainted with putrefaction much sooner than the other." 1
Professor Tyndall describing his journey to the summit of the Alpine Mountain, Weisshorn, August 21st, 1861, says:--
"I lay with my face towards the moon (which was nearly full), and gazed until my face and eyes became so chilled that I was fain to protect them with a handkerchief." 2
3rd. It is a well known fact, that if the sun is allowed to shine strongly upon a common coal, coke, wood, or charcoal fire, the combustion is greatly diminished; and often the fire is extinguished. It is not an uncommon thing for cooks, housewives, and others to draw down the blinds in summer time to prevent their fires being put out by the continued stream of sun-light pouring through the windows. Many philosophers have recently attempted to deny and ridicule this fact, but they are met, not only by the common sense and every-day experience of very practical people, but by the results of specially instituted experiments.
It is not so well known perhaps, but it is an equally decided fact, that when the light of the moon is allowed to play upon a common carbonaceous fire, the action is increased, the fire burns more vividly, and the fuel is more rapidly consumed.
4th. In sun-light a thermometer stands higher than a similar thermometer placed in the shade. In the full
moon-light, a thermometer stands lower than a similar instrument in the shade.
5th. In winter when ice and snow are on the ground, it is patent to every boy seeking amusement by skating or snow-balling, that in the sun light both ice and snow are softer and sooner thaw than that behind a wall, or in the shade. It is equally well known that when, in frosty weather, the night is far advanced, and the full moon has been shining for some hours, the snow and ice exposed to the moon-light are hard and crisp, while in the shade, or behind any object which intercepts the moon's rays it is warmer, and the ice and snow are softer and less compact. Snow will melt sooner in sun-light than in the shade; but sooner in the shade than when exposed to the light of the moon.
6th. The light of the sun reflected from the surface of a pool of water, or from the surface of ice, may be collected in a large lens, and thrown to a point or focus, when the heat will be found to be considerable; but neither from the light of the moon reflected in a similar way, nor direct from the moon itself, can a heat-giving focus be obtained.
7th. The sun's light, when concentrated by a number of plane or concave mirrors throwing the light to the same point; or by a large burning lens, produces a black or non-luminous focus, in which the heat is so intense that metallic and alkaline substances are quickly fused; earthy and mineral compounds almost immediately vitrified; and all animal and vegetable structures in a few seconds decomposed, burned up and destroyed.
The moon's light concentrated in the above manner
produces a focus so brilliant and luminous that it is difficult to look upon it; yet there is no increase of temperature. In the focus of sun-light there is great heat but no light. In that of the moon's light there is great light but no heat. That the light of the moon is without heat, is fully verified by the following quotations:---
"If the most delicate thermometer be exposed to the full light of the moon, shining with its greatest lustre, the mercury is not elevated a hair's breadth; neither would it be if exposed to the focus of her rays concentrated by the most powerful lenses. This has been proved by actual experiment." 1
"This question has been submitted to the test of direct experiment. . . . The bulb of a thermometer sufficiently sensitive to render apparent a change of temperature amounting to the thousandth part of a degree, was placed in the focus of a concave reflector of vast dimensions, which, being directed to the moon, the lunar rays were collected with great power upon it. Not the slightest change, however, was produced in the thermometric column; proving that a concentration of rays sufficient to fuse gold if they proceeded from the sun, does not produce a change of temperature so great as the thousandth part of a degree when they proceed from the moon." 2
"The most delicate experiments have failed in detecting in the light of the moon either calorific or chemical properties. Though concentrated in the focus of the largest mirrors, it produces no sensible heating effect. To make this experiment, recourse has been had to a bent tube, the extremities of which terminate in two hollow globes filled with air, the one trans-parent, the other blackened, the middle space being occupied
by a coloured fluid. In this instrument, when caloric is absorbed by it, the black ball takes up more than the other, and the air it encloses increasing in elasticity, the liquid is driven out. This instrument is so delicate that it indicates even the millionth part of a degree; and yet, in the experiment alluded to, it gave no result." 1
"The light of the moon, though concentrated by the most powerful burning-glass, is incapable of raising the temperature of the most delicate thermometer. M. De la Hire collected the rays of the full moon when on the meridian, by means of a burning-glass 35 inches in diameter, and made them fall on the bulb of a delicate air-thermometer. No effect was produced though the lunar rays by this glass were concentrated 300 times. Professor Forbes concentrated the moon's light by a lens 30 inches in diameter, its focal distance being about 41 inches, and having a power of concentration exceeding 6000 times. The image of the moon, which was only 18 hours past full, and less than two hours from the meridian, was brilliantly thrown by this lens on the extremity of a commodious thermopile. Although the observations were made in the most unexceptional manner, and (supposing that half the rays were reflected, dispersed and absorbed), though the light of the moon was concentrated 3000 times, not the slightest thermo effect was produced." 2
In the "Lancet" (Medical Journal), for March 14th, 1856, particulars are given of several experiments which proved that the moon's rays when concentrated, actually reduced the temperature upon a thermometer more than eight degrees.
It is the common experience of the world that the light of the sun heats and invigorates all things, and that moon light is cold and depressive. Among the Hindoos, the sun is called "Nidâghakara," which means in Sanscrit "Creator of Heat;" and the moon is called "Sitala Hima," "The Cold," and "Himân’su," "Cold-darting," or "Cold-radiating."
Poets, who but utter in measured words the universal knowledge of mankind, always speak of the "Pale cold moon," and the expression is not only poetically beautiful, but also true philosophically.
The facts now placed in contrast make it impossible to conclude otherwise than that the moon does not shine by reflection, but by a light peculiar to herself--that she is in short self-luminous. This conclusion is confirmed by the following consideration. The moon is said by the Newtonian philosophers to be a sphere. If so, its surface could not possibly reflect; a reflector must be concave or plane, so that the rays of light may have an "angle of incidence." If the surface is convex, every ray of light falls upon it in a line direct with radius, or perpendicular to the surface. Hence there cannot be an angle of incidence and therefore none of reflection. If the moon's surface were a mass of highly polished silver, it could not reflect
from more than a mere point. Let a silvered glass ball of considerable size be held before a lamp or fire of any magnitude, and it will be seen that instead of the whole surface reflecting light there will only be a very small portion illuminated. But during full moon the whole disc shines intensely, an effect which from a spherical surface is impossible. If the surface of the moon were opaque and earthy instead of polished like a mirror, it might be seen simply illuminated like a dead wall, or the face of a distant sandstone rock, or chalky cliff, but it could not shine intensely from every part, radiating brilliant light and brightly illuminating the objects around it, as the moon does so beautifully when full and in a clear firmament. If the earth were admitted to be globular, and to move, and to be capable of throwing a shadow by intercepting the sun's light, it would be impossible for a lunar eclipse to occur thereby, unless, at the same time, the moon is proved to be non-luminous, and to shine only by reflection. But this is not proved; it is only assumed as an essential part of a theory. The contrary is capable of proof. That the moon is self-luminous, or shines with her own light, independently. The very name and the nature of a reflector demand certain well-defined conditions. The moon does not manifest these necessary conditions, and therefore it must be concluded, of necessity, that she is not a reflector, but a self-luminous body. That she shines with her own light independently of the sun, thus admits of direct demonstration.
As the moon is self-luminous, her surface could not be darkened or "eclipsed" by a shadow of the earth--supposing
such a shadow could be thrown upon it. In such a case, the luminosity instead of being diminished, would increase, and would be greater in proportion to the greater density or darkness of the shadow. As the light in a bull's-eye lantern looks brightest in the darkest places, so would the self-shining surface of the moon be most intense in the umbra or deepest part of the earth's shadow.
The moon shining brightly during the whole time of eclipse, and with a light of different hue to that of the sun; and the light of the moon having, as previously shown, a different character to that of the sun; the earth not a globe, and not in motion round the sun, but sun and moon always over the earth's plane surface, render the proposition unavoidable as it is clearly undeniable that a lunar eclipse does not and could not in the nature of things arise from a shadow of the earth, but must of sheer logical necessity be referred to some other cause.
We have seen that, during a lunar eclipse, the moon's self-luminous surface is covered by a semi-transparent something; that this "something" is a definite mass, because it has a distinct and circular outline, as seen during its first and last contact with the moon. As a solar eclipse occurs from the moon passing before the sun, so, from the evidence above collected, it is evident that a lunar eclipse arises from a similar cause--a body semi-transparent and well-defined passing before the moon; or between the moon's surface and the observer on the surface of the earth.
That many such bodies exist in the firmament is almost a matter of certainty; and that one such as that which
eclipses the moon exists at no great distance above the earth's surface, is a matter admitted by many of the leading astronomers of the day. In the report of the council of the Royal Astronomical Society, for June 1850, it is said:--
"We may well doubt whether that body which we call the moon is the only satellite of the earth."
In the report of the Academy of Sciences for October 12th, 1846, and again for August, 1847, the director of one of the French observatories gives a number of observations and calculations which have led him to conclude that,--
"There is at least one non-luminous body of considerable magnitude which is attached as a satellite to this earth."
Sir John Herschel admits that:--
"Invisible moons exist in the firmament." 1
Sir John Lubbock is of the same opinion, and gives rules and formulæ for calculating their distances, periods, &c. 2
At the meeting of the British Association for the Advancement of Science, in 1850, the president stated that,---
"The opinion was gaining ground, that many of the fixed stars were accompanied by companions emitting no light."
"The 'changeable stars' which disappear for a time, or are eclipsed, have been supposed to have very large opaque bodies revolving about or near to them, so as to obscure them when they come in conjunction with us." 3
"Bessel, the greatest astronomer of our time, in a letter to myself, in July 1844, said, 'I do indeed continue in the belief that Procyon and Sirius are both true double stars, each consisting of one visible, and one invisible star.' . . A laborious inquiry just completed by Peters at Königsberg; and a similar one by Schubert, the calculator employed on the North American Nautical Almanack, support Bessel." 1
"The belief in the existence of non-luminous stars was prevalent in Grecian antiquity, and especially in the early times of Christianity. It was assumed that 'among the fiery stars which are nourished by vapours, there move other earthy bodies, which remain invisible to us!' Origenes." 2
"Stars that are invisible and consequently have no name move in space together with those that are visible." Diogenes of Appollonica. 3
Lambert in his cosmological letters admits the existence of "dark cosmical bodies of great size." 4
We have now seen that the existence of dark bodies revolving about the luminous objects in the firmament has been admitted by practical observers from the earliest ages; and that in our own day such a mass of evidence has accumulated on the subject, that astronomers are compelled to admit that not only dark bodies which occasionally obscure the luminous stars when in conjunction, but that cosmical bodies of large size exist, and that "one at least is attached as a satellite to this earth." It is this dark or "non-luminous satellite," which when in conjunction,
or in a line with the moon and an observer on earth, IS THE IMMEDIATE CAUSE OF A LUNAR ECLIPSE.
Those who are unacquainted with the methods of calculating eclipses and other phenomena, are prone to look upon the correctness of such calculations as powerful arguments in favour of the doctrine of the earth's rotundity and the Newtonian philosophy, generally. One of the most pitiful manifestations of ignorance of the true nature of theoretical astronomy is the ardent inquiry so often made, "How is it possible for that system to be false, which enables its professors to calculate to a second of time both solar and lunar eclipses for hundreds of years to come?" The supposition that such calculations are an essential part of the Newtonian or any other theory is entirely gratuitous, and exceedingly fallacious and misleading. Whatever theory is adopted, or if all theories are discarded, the same calculations can be made. The tables of the moon's relative positions for any fraction of time are purely practical--the result of long-continued observations, and may or may not be connected with hypothesis. The necessary data being tabulated, may be mixed up with any, even the most opposite doctrines, or kept distinct from every theory or system, just as the operator may determine.
"The considered defects of the system of Ptolemy (who lived in the second century of the Christian era), did not prevent him from calculating all the eclipses that were to happen for 600 years to come." 1
"The most ancient observations of which we are in possession, that are sufficiently accurate to be employed in astronomical calculations, are those made at Babylon about 719 years before the Christian era, of three eclipses of the moon. Ptolemy, who has transmitted them to us, employed them for determining the period of the moon's mean motion; and therefore had probably none more ancient on which he could depend. The Chaldeans, however, must have made a long series of observations before they could discover their 'Saros,' or lunar period of 6585⅓ days, or about 18 years; at which time, as they had learnt, the place of the moon, her node and apogee return nearly to the same situation with respect to the earth and the sun, and, of course, a series of nearly similar eclipses occur." 1
"Thales (B.C. 600) predicted the eclipse which terminated the war between the Medes and the Lydians. Anaxagoras (B.C. 530) predicted an eclipse which happened in the fifth year of the Peloponnesian War." 2
"Hipparchus (140 B.C.) constructed tables of the motions of the sun and moon; collected accounts of such eclipses as had been made by the Egyptians and Chaldeans, and calculated all that were to happen for 600 years to come." 3
"The precision of astronomy arises, not from theories, but from prolonged observations, and the regularity of the motions, or the ascertained uniformity of their irregularities." 4
"No particular theory is required to calculate eclipses; and the calculations may be made with equal accuracy independent of every theory." 5
"It is not difficult to form some general notion of the process of calculating eclipses. It may be readily conceived that by long-continued observations on the sun and moon, the laws of their revolution may be so well understood that the exact places which they will occupy in the heavens at any future times may be foreseen, and laid down in tables of the sun and moon's motions; that we may thus ascertain by inspecting the tables the instant when these bodies will be together in the heavens, or be in conjunction." 1
The simplest method of ascertaining any future eclipse is to take the tables which have been formed during hundreds of years of careful observation; or each observer may form his own tables by collecting a number of old almanacks one for each of the last forty years: separate the times of the eclipses in each year, and arrange them in a tabular form. On looking over the various items he will soon discover parallel cases, or "cycles" of eclipses; that is, taking the eclipses in the first year of his table, and examining those of each succeeding year, he will notice peculiarities in each year's phenomena; but on arriving to the items of the nineteenth and twentieth years, he will perceive that some of the eclipses in the earlier part of the table will have been now repeated--that is to say, the times and characters will be alike. If the time which has elapsed between these two parallel or similar eclipses be carefully noted, and called a "cycle," it will then be a very simple and easy matter to predict any future similar eclipse, because, at the end of the "cycle," such similar
eclipse will be certain to occur; or, at least, because such repetitions of similar phenomena have occurred in every cycle of between eighteen and nineteen years during the last several thousand years, it may be reasonably expected that if the natural world continues to have the same general structure and character, such repetitions may be predicted for all future time. The whole process is neither more nor less--except a little more complicated--than that because an express train had been observed for many years to pass a given point at a given second--say of every eighteenth day, so at a similar moment of every cycle or eighteenth day, for a hundred or more years to. come, the same might be predicted and expected. To tell the actual day and second, it is only necessary to ascertain on what day of the week the eighteenth or "cycle day" falls.
Tables of the places of the sun and moon, of eclipses, and of kindred phenomena, have existed for thousands of years, and w ere formed independently of each other, by the Chaldean, Babylonian, Egyptian, Hindoo, Chinese, and other ancient astronomers. Modern science has had nothing to do with these; farther than rendering them a little more exact, by averaging and reducing the fractional errors which a longer period of observation has detected.
As an instance of the complicated process into which modern theorists have allowed themselves to "drift," the following formula is here introduced:--
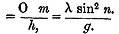
"RULES TO FIND ALL PARTICULARS OF A LUNAR ECLIPSE.
"1st.--Find the moon's true hourly motion at the full moon by means.
"TO FIND THE TIME, MAGNITUDE, AND DURATION OF A LUNAR ECLIPSE.
"Let A, B, R, (in the following diagram) be a section of the
earth's shadow at the distance of the moon; S, n, the path described by its centre, S, on the ecliptic; M, n, the relative orbit of the moon; M, n, S, n, being considered straight lines. Draw S, o, perpendicular to S, n, and S, m, to M, n; then o, and m, are in the places, with respect to S, of the moon in opposition, and at the middle of the eclipse.
"Let α = S, B = h + π - σ, the radius of the section of the shadow.
λ = S, o, the moon's latitude in opposition.
f = the relative horary motion in longitude of the moon in the relative orbit, M, n.
h = the moon's horary motion in the relative orbit.
g = the moon's horary motion in latitude.
μ = the moon's semi-diameter;
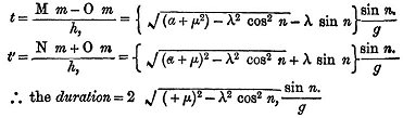
"Let M, and N, be the place of the moon's centre at the time of the first and last contact; therefore
SM = SN = a + μ.
"Now S m = λ cos n;
and m, o = λ sin n.
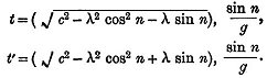
"If, therefore, t, and t´, be the times from opposition of the first and last contact,
"The time from opposition, of the middle of the eclipse
"The magnitude of the eclipse, or the part of the moon immersed,
|
= S u - S v. = S u--S m + m, v. =a - λ cos n + μ. |
"The moon's diameter is generally divided into twelve equal parts, called digits;
therefore the digits eclipsed = 12 :: α - λ, n +μ : 2 μ
"COR. 1.--If λ cos n, be greater than α + μ, t and t´ are impossible, and no eclipse can take place, as is also evident from the figure.
"COR. 2.--In exactly the same manner it may be proved, if t and t´ be the times from opposition, of the centres of the shadow and moon being at any given distance c,
"COR. 3.--If c = h + μ + σ + μ = the radius of the penumbra, + the radius of the moon, the times of the moon entering and emerging from the penumbra are obtained.
"The horary motion of the moon is about 32½´, and that of the sun 2½´; therefore the relative horary motion of the moon is 30´; and as the greatest diameter of the section at the distance of the moon is 1° 31´ 44″, a lunar eclipse may last more than three hours." 1
The formulæ above quoted are entirely superfluous, because they add nothing to our knowledge of the causes of eclipses, and would not enable us to predict anything which has not hundreds of times already occurred. Hence all the labour of calculation is truly effort thrown away, and may be altogether dispensed with by adopting the simple process referred to at page 153, and calling that which eclipses the moon the "lunar eclipsor," or the moon's satellite, instead of the "earth's shadow," just as the moon is the sun's eclipsor.
131:1 "Astronomy and Astronomical Instruments," p. 105. By George G. Carey.
131:2 McCulloch's Geography, p. 85.
131:3 "Illustrated London Almanack for 1864," the astronomical articles in which are by James Glaisher, Esq., of the Greenwich Royal Observatory.
131:4 See "Daily Telegraph," July 16th, 1870.
133:1 "Philosophical Magazine," No. 220, for August, 1848.
133:2 "Morning Star," of Wednesday, March 3rd, 1858.
133:3 Norman Pogson, Esq., Director of the Hartwell Observatory, in "Monthly Notices of the Royal Astronomical Society," March 9th, 1860.
136:1 The Hon. Mrs. Ward, Trimleston House, near Dublin, in "Recreative Science," p. 281.
137:1 "Illustrated London Almanack for 1864," by Mr. Glaisher, of Royal Observatory, Greenwich. A beautiful tinted engraving is given, representing the moon, with all the light and dark places, the so-called mountains, seas, &c., plainly visible, during the totality of the eclipse.
137:2 "Physical Description of the Heavens," p. 356. By Humboldt.
137:3 Plutarch ("De Facia in Orbe Luna"), T. iv., pp. 780-783.
137:4 Dion Cassius (lxv., 11; T., iv.; p. 185. Sturz.)
141:1 "Wanderings in the East," p. 367. (Edit. 1854). By Rev. J. Gadsby.
141:2 Newspaper Paragraph.
142:1 "Lectures on Astronomy," p. 67. By M. Arago.
142:2 "Illustrated London News," of September, 7th, 1861.
144:1 "All the Year Round," by Dickens.
144:2 "Museum of Science," p. 115. By Dr. Lardner.
145:1 "Lectures on Astronomy," p. 66. By M. Arago.
145:2 "Lectures on Chemistry," p. 334. By Dr. Noad.
149:1 "Herschel's Astronomy," pp. 521 and 616.
149:2 "Philosophical Magazine" for 1848, p. 80.
149:3 "Encyclopædia Londinensis." Art., "Fixed Stars."
150:1 "Physical Description of the Heavens." By Humboldt, p. 183, 1867.
150:2 Ibid., p. 184.
150:3 "Comos," p. 122. By Humboldt.
150:4 Ibid. Notes, p. 71.
151:1 Smith's "Rise and Progress of Astronomy.
152:1 "Lectures on Natural Philosophy," p. 370. By Professor Partington.
152:2 Professor Barlow, in "Encyclopædia Metropolitana," p. 486.
152:3 "Encyclopædia Londinensis," vol. if., p. 402.
152:4 "Million of Facts." By Sir Richard Phillips. Page 358.
152:5 Somerville's "Physical Sciences," p. 46.
153:1 "Mechanism of the Heavens," p. 191. By Professor Olmstead, U.S. Observatory.
157:1 "Elements of Astronomy," p. 309, by W. Maddy, M.A., Fellow of St. John's College, Cambridge.