
THE demotic magical papyrus of London and Leiden was discovered at Thebes with other papyri, principally Greek but dealing with subjects of a like nature, in the early part of the last century, and was bought by Anastasi, who was at that time Swedish consul at Alexandria, and made a large collection of Egyptian MSS. When Anastasi obtained the MS. it must already have been torn into two parts, and it is even probable that he obtained the two parts at different times, since he sold his Egyptian collections, including the Leiden MS., to the Dutch government in 1828, while the London portion was bought at the sale of his later collections at Paris in 1857 for the British Museum (No. 1072 in Lenormant's Catalogue).
The Leiden fragment was made known to the world much earlier than that in the British Museum. Its importance for the deciphering of the demotic script by the help of the numerous glosses in Graeco-Coptic characters was at once perceived by the distinguished scholar Reuvens, at that time Director of the Leiden Museum of Antiquities, who proceeded to study it carefully, and in 1830 published an admirable essay 1 in which he sketched the principal contents of the MS. and indicated its value for the progress of demotic
studies. He then took in hand its reproduction, and the MS. was lithographed in facsimile under his direction, and he had corrected the proofs of the first plate when he was cut off by a premature death in 1835; his work was carried to completion and published by his successor in the Directorship of the Museum, Leemans, in 1839 1. Heinrich Brugsch studied it closely, and drew from it most of the examples quoted in his Demotic Grammar published in 1855; but, although later scholars have frequently quoted from it and translated fragments of it, the MS. has hitherto remained without complete translation, commentary, or glossary.
The London MS., however, lay from 1857 onwards almost unnoticed in the British Museum. To the late Dr. Pleyte, Leemans' successor at Leiden, belongs the credit of discovering that the two MSS. originally formed one. He had studied the Leiden portion, and at once recognized the handwriting of its fellow in London. Without publishing the fact, he communicated it to Professor Hess of Freiburg, when the latter was working in Leiden on the MS. there. Professor Hess went on to London, and, having fully confirmed Dr. Pleyte's statement, published in 1892 a reproduction of the British Museum MS. with an introduction, including the translation of one column, and a glossary 2.
Reuvens in his essay dwelt at some length on the 'gnostic' character of the MS. He devoted his attention mainly to the parts which contain the glosses, and those are almost exclusively magical invocations, among which occur the names of gods, spirits, and demons, Egyptian, Syrian, Jewish, &c., strung together in a manner similar
to those found in gnostic writings and on gnostic gems. He even went so far as to associate them with the name of a particular gnostic leader, Marcus, of the second century, chiefly on the ground of his recorded use of Hebrew and Syriac names in his invocations and the combinations of vowels. In consequence the MS. has acquired the name of the 'Leiden Gnostic,' and the term 'Gnostic' has been passed on to the London MS. But as will be seen from the complete translation here published, there is nothing in the work relating to the gnostic systems--it deals with magic and medicine, and it seems a misnomer to call the MS. gnostic merely because part of the stock-in-trade of the magician and medicine-man were a number of invocation names which he either picked up from the gnostics or derived from sources common to him and them. Hence it has been thought desirable to abandon the epithet 'gnostic,' and to call the work the 'Magical papyrus of London and Leiden' (Pap. mag. LL.).
The London portion is in far better condition than the Leiden portion. The papyrus is pale in colour and the ink very black; consequently where the MS. has not suffered material damage it is easy to read, as the scribe wrote a beautiful and regular hand.
The Leiden papyrus, on the other hand, has unfortunately suffered much, as Leemans, with a view to protecting the surface, covered both recto and verso with 'vegetable' paper, which probably could not be removed now without serious injury to the MS.; but either the paper or the adhesive matter employed with it has darkened and decayed, rendering the writing illegible in places.
In 1829, while the MS. was still in charge of Reuvens and before it had been subjected to the operation above described, he took a tracing of it which has been preserved, and which, though of little assistance in points of minute detail, may be relied on for filling up with certainty many groups which are now wholly lost in the original.
The main body of the writing is on the recto (horizontal fibres) of the papyrus, while on the verso are written memoranda, medical prescriptions, and short invocations.
The London MS. is Pap. No. 10070 of the British Museum (formerly Anast. 1072).
The Leiden MS. is known as I. 383 (reckoned among the Anastasi MSS. as A. 65).
The London portion forms the initial part of the MS. and joins on to the Leiden portion without a break, the tenth and last column of the London MS. and the first of the Leiden forming one column.
The first London column is imperfect, and it is not possible to say with certainty whether the MS. began with it or whether there was an anterior part now lost. It is quite possible that it began here. On the other hand, it is certain that the MS. is imperfect at the end, since the broken edge of the papyrus at Leiden shows traces of a column of writing succeeding the present final column.
It is impossible to estimate how much is lost, as the MS. is not an original composition on a definite plan, but a compilation of heterogeneous material collected together without any logical order.
The two portions, if joined together, would measure, roughly speaking, some 5 M. (about 16½ feet) in length. In height it averages nearly 25 cm. (10 in.). The writing is in columns, of which there are twenty-nine on the
recto, while on the verso are thirty-three small columns or portions of columns; but these are not marked off, as are the recto columns, by vertical and horizontal framing lines 1, nor are they written continuously, but they seem to have been jotted down there on account of their brevity and discontinuous character.
The recto columns vary somewhat in size, but average 20 x 20 cm. (8 in. square). The writing is frequently carried beyond the framing lines.
In each column of the recto the number of lines is on the average about thirty to thirty-three; but the number is very irregular, ranging from forty-three in one column to five in another.
As has been stated above, the MS. is a compilation. An analysis of the contents will be found on page 14. From this it will be seen to consist mainly of directions for divination processes involving numerous invocations, together with erotica and medical prescriptions, in which, however, magic plays as large a part as medicine.
The MS. is far from being unique in regard to its contents. Fragments of similar works in demotic exist at Paris (Louvre, No. 3229, published by Maspero, Quelques papyrus du Louvre, 1875), and at Leiden (I. 384 verso, Anast. 75, published by Leemans, Mons. du musée de Leide, 1842, pl. ccxxvi--vii) a MS. partly demotic and partly Greek, the latter portion being published by Leemans in Pap. graeci mus. lugd. bat. 1885, ii. Pap. V, and re-edited by Dieterich, Pap. Mag. Mus. Lugd. Bat. The Greek papyri containing similar texts are numerous, many examples having been published
from the museums of Berlin, Leiden, London, and Paris by Goodwin, Parthey, Leemans, Wessely, and Kenyon.
The well-known codex of the Bibliothèque Nationale published by Wessely, Denkschr. Kais. Ak. Wiss. Wien, xxxvi. 1888, contains a few invocations in Old Coptic along with the Greek (cf. Griffith, A. Z. 1901, p. 85, and bibliography, ibid. p. 72).
Magic was from the earliest times largely developed by the Egyptians in relation both to the dead and the living. Under the former head fall both the pyramid texts and other texts found in the tombs, including most of the Book of the Dead, which consists mainly of magical invocations intended to make smooth the path of the deceased in the next world.
Magical texts for the use of the living are found in the Harris magical papyrus (ed. Chabas, 1860), the Metternich stela (ed. Golenischeff, 1877) and kindred stones, the Berlin papyrus edited by Erman (Zaubersprüche für Mutter u. Kind, 1901), &c. Reference may be made to the volume on Egyptian magic by Dr. Wallis Budge, 1899, and to a special study on vessel-divination by E. Lefébure, 'Le vase divinatoire,' in Sphinx, 1902, VI. 61 seq. Cf. also Dieterich, 'Abraxas'; Kenyon in Cat. Greek Pap. in B. M., I. 62 seq.; Miss Macdonald in P. S. B. A., xiii. 160 seq.; Wünsch, Sethianische Verfluchungstafeln aus Rom, &c.
In the closely allied department of medicine, it is sufficient to refer to the Ebers papyrus, the Kahun papyri, and the Berlin medical papyrus (ed. Brugsch, Rec. Mon. pl. 87-107), which offer many parallels. Among the Greek medical writers it is noticeable that Alexander of Tralles seems much more closely allied to the Egyptian school, if that be represented by our MS., than Galen.
But though the subject-matter of the MS. is not without its interest for the history of magic and medicine, its chief claim to publication lies in its philological interest. From the first its numerous glosses have attracted the attention of scholars, and have been the means of fixing the value of a large number of demotic groups. Further it is in date probably the latest known papyrus written in the demotic script; most of the glosses are really Coptic transcriptions, and under this head may likewise be included all the Egyptian words written in cipher; so that the MS. in these furnishes us with a series of very early Coptic words, including several grammatical forms of great interest. Possibly too the text may be of importance in relation to the question of dialects in pagan Egypt; but that is a subject too little worked out at present to allow of definite statements. The vocabulary is very extensive, and includes a number of Greek words, the names of over 100 plants, besides numerous animals and minerals.
It may be useful to record here the names of those who have dealt with the MS. at greater length than a mere passing reference or quotation, and to whom we are indebted for many suggestions:
REUVENS. Supra, p. 1.
LEEMANS. Mons. &c., texte; Aegyptische Papyrus in demotischer Schrift, &c. 1839.
MASPERO. Rec. tray., i. 18--40 (1870).
REVILLOUT. Setna, introd. pp. 3--48 (1877); Rev. Égypt., i. 163-172 (1880), ii. 10-15, 270-2 (1881); Poème satyrique (1885).
PLEYTE. P. S. B. A., 1883, 149.
BRUGSCH. Wtb. pass., A. Z., 1884, 18 seq.
MAX MÜLLER. Rec. tr., viii. 172 (1886), xiii. 149 (1890).
HESS. Setna pass. (1888), Zur Aussprache des Griechischen, in the Indo-germanische Forschungen, vi. 123; Der gnostische Papyrus von London, Einleitung, Text u. Demotisch-deutsches Glossar, 1892.
GROFF. Mém. de l’Institut Égypt. iii. 337 seq. (1897), and Bulletin du même, 1897, 1898.
As the London portion of the MS., which in the order of contents is the first part, was published fifty years later than the second part at Leiden, it follows that each publication has an independent numbering of the columns, starting from I. In view of the fact that there are many references in demotic literature already to the columns by their numbers as established by the publications of Leemans and Hess, it would have been desirable to retain the existing numbering if possible. But, as will be seen by comparison of the hand copy of the whole MS. which accompanies this edition with the former publications, the changes in the way of consolidation of the columns, and in some cases necessary re-numbering of the lines, have made it compulsory to introduce a new and continuous numbering of the columns. For instance, Hess col. X and Leemans col. I form a single column, and the same is the case with Leemans cols. II and III and cols. IV and V, and with verso, cols. XVI and XVII, XXII and XXIII. A comparative table of the old and new numbers will be found at the end.
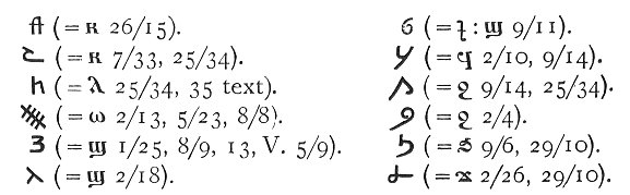
There are about 640 words with transcriptions in Coptic characters in addition to a few inserted in the text.
Besides all the letters of the Greek alphabet we find the following used:--
The glosses were undoubtedly written by the same scribe who wrote the demotic text. And it seems that he wrote the glosses before he filled in the rubrics. For the handwriting of the demotic text and of the rubrics is unquestionably the same; and in filling up in red the empty spaces he had left for rubrication, the scribe took occasion to fill in with his red ink occasional lapses in the black writing. In the text this can be observed in e.g. 24/1, the omitted
of the second str (?) has been filled up in red, and also the omitted determinative in the last word of 28/8, an omitted letter in pḫr 29/11, an omitted word šn interlineated in 29/12, and a plural sign in 25/26; and so too the gloss
in 28/8, overlooked when the glosses were originally inserted in black ink.
It is a fact that there is often a considerable difference between the Greek letters in the passages written in Greek and in the glosses (e. g. παπιπετου in 15/25 and 15/29), but this may be accounted for by the fact that the former are written in a cursive hand with ligatures, while the glosses are carefully written with separately formed letters without ligatures for distinctness' sake in the narrow space between the lines.
The above considerations, however, only show that the text and glosses were written by the same hand in our existing MS. It does not follow that they were written by the original compiler. Max Müller has argued (Rec. tr., viii. 175) that they must be due to another individual since they are mostly in the Fayumic
dialect, while the dialect of the demotic text is Untersahidisch' (i. e. Achmimic, so called by Stern). In Rec. tr., xiii. 152 n., he replaces the latter term by a more precise definition: 'Die Mundart steht zwischen Fayumisch u. dem Mittel-ägyptischen von Akhmîm, letzterem näher.' But it is very doubtful whether this distinction between the text and the glosses can be maintained. The only example quoted by Max Müller that distinctly suggests Fayumic is the gloss
and over a group in 16/5 and 25/34, which he reads as =
, regarding the interchange of
and
as evidence of Fayumic dialect. But the demotic group in question does not read er-w, but mr as in mr-’ḥ (1/17, 2/7, 14/6, 28), and the gloss
represents the absolute form of the late Egyptian word which we see in its construct form in Sahidic
and in λεσωνις. From the detailed examination of the dialect (in vol. ii) it appears probable that the dialect of the text does not show any distinction from that of the glosses, and it is not necessary to go behind the scribe of the present MS. and place the compiler earlier. He may well have been one and the same.
Reuvens (u. s. p. 151) placed the date of the MS. in the first half of the third century A. D., and this was repeated by Leemans.
Groff and Hess attributed it on palaeographical grounds to the second century; but in the light of recent additions to the knowledge of Greek palaeography, and the opinions based on them of Kenyon, Grenfell, and Hunt (see A. Z., xxxix. (1901) p. 78), the third century must be accepted as the date of the MS. But this, of course,
is the date at which the papyrus was written, and merely furnishes a terminus ad quem for deciding as to the date of the contents.
That the whole of the papyrus, in its present state, was written by one and the same scribe--with the possible exception of verso XXVIII--can scarcely be a matter of doubt to any one who has studied closely the handwriting of the original MSS. It must be stated, however, that Reuvens and Leemans were of opinion that the glosses were written by a later hand than that of the body of the text: but this question has been discussed above (p. 9), and apart from the identity of ink, and the material proof given there, it may be added that the hieratic glosses in 27/8 are certainly written by the same hand as the numerous hieratic passages scattered through the text.
The date of the contents is a much more complicated question. Written partly in hieratic, partly in demotic, and partly in Greek, they wear the aspect of a compilation, which is borne out by the varied and disconnected nature of the subject-matter.
It has been suggested that the work is a translation into demotic of a Greek original, and perhaps this is the first question demanding discussion. Prima facie it may be said to be likely, as so many similar works exist in Greek. The introduction of three invocations of considerable length written in Greek characters almost compels us to accept that origin for those particular sections, viz. 4/1-19, 15/24-31, 23/7-20. It seems probable that the translator felt he could transfer to Egyptian the prescriptions and preparations, while the formula of incantation had to be left in the original language. Had these sections been written in Egyptian originally, it is not likely that an incantation in a foreign tongue would be inserted in the place presumably of an Egyptian one.
[paragraph continues] And in the first named instance there is the additional evidence of two true Greek glosses, i. e. not Coptic transcriptions of the demotic words, but Greek equivalents of the two words 'table' and 'goose,' which seem to be inserted clearly to prevent a misunderstanding of the original terms. In the second instance 15/24-31, the original Greek lines 25-28 are immediately followed by a demotic translation of the same passage (11. 29--31), which points in the same direction. Translation from the Greek is rendered probable, outside the passages already referred to, by the transcription of Greek prescriptions and substances in 24/1-25, and verso I, II, VIII, IX. According to an ingenious suggestion of Max Müller, in verso II the otherwise unintelligible phrase m‘nes n rm is almost certainly a mistranslation of μαγνησία ἀνδρεία. Max Müller has also (Rec. tr., viii. 175--6) given strong reasons for regarding the passage 25/23-37 as being translated from a Greek original. However, even where there are reasons for believing that the demotic is a translation from the Greek, the original source, in relation to magic at any rate, was probably Egyptian--certainly so in the case of the Greek passage in 15/25-28, which has itself clearly an Egyptian origin.
On the other hand, some of the chief sections of the MS. show no traces of Greek influence, e.g. cols. VI and XV. 1-20; but it would be rash to say that they are older; they may well represent only a purer Egyptian source. Max Müller (Rec. tr., viii. 172) has suggested that some of the magic formulae go back to the period from the Eighteenth to the Twentieth Dynasty. This cannot be true of more than a few phrases. The language indeed is not entirely uniform, but throughout the papyrus the vocabulary and grammar are distinctly not 'Late Egyptian', they are 'demotic,' and that too
of a kind which approaches Coptic much more closely than in any other known papyrus. Certain passages, such as the spell in 13/1-10, show more or less archaism, but in all cases it is mixed with late forms.
The use of hieratic might be thought to indicate some antiquity where it occurs. But the writing is a strange jumble; the hieratic is inextricably though sparingly mixed with the demotic, a single word being often written partly in hieratic, partly in demotic. Where hieratic signs occur the language is not generally more archaic than when the demotic is pure. In 23/24 the word Abrasax is written in hieratic. Now Abrasax is usually regarded as a typical gnostic invocation name, Irenaeus having stated that it was invented by Basilides (fl. 125 A. D.). This statement is now generally regarded as an error, and the name may be earlier; but there is no authority for placing it in pre-Christian times (cf. Hort, s. v. Abrasax, in Smith, Diet. Christ. Biog.; Dieterich, Abrasax, p. 46; C. Schmidt, Gnostische Schriften in Kopt. Spr., 1892, p. 562).
Not many documents written in hieratic have been ascertained to be later than the first century A.D.; but they were plentiful at Tanis amongst the burnt papyri found by Professor Petrie in the house of 'Bakakhuiu' (Asychis), the destruction of which Mr. Petrie was disposed to date to 174 A. D. (Tanis, i. p. 41); and Clemens Alexandrinus (Strom. v. 237) mentions hieratic as still taught in the schools (circa A. D. 160-220). Hieroglyphic inscriptions, with the name of Decius (249--251), are found in the temple of Esneh, and the existence of hieroglyphic almost implies that of hieratic.
Judging by the language, it is difficult to believe that any part of the work in its present redaction is more than a century or two older than the papyrus itself.
The contents of the papyrus may be classified as follows:
I. Divination--
2. to obtain favour and respect XI, verso XXXII.
3. Erotica--
4. Poisons, &c.--
5. Healing--
6. names or descriptions of plants, drugs, &c. verso I-II. 15, III. 4-13, 17-18, IV. 6-19, V. 14-17.
|
COLUMN I-III. |
Divination by vessel with medium. |
|
|
1/2-3/5 invocation; 3/5-3/35 directions. |
|
IV. 1-19. |
Process employed by Imuthes. |
|
|
1-8 directions; 9-19 Greek invocation. IV. 20-22. For a horoscope (?). |
|
IV. 23-24. |
Eye-paints. |
|
V. 1-2. |
fragmentary. |
|
3-32. |
Divination by lamp without medium. |
|
|
3-8 directions; 9-23 invocations; 24-32 prescription for eye-paint and further directions. |
|
VI-VIII. 11. |
Divination by lamp, with medium and alone. |
|
|
6/1-11 directions; 6/11-8/11 invocations. |
|
VIII. 12-18. |
Divination alone, according to the priest Psash (?). |
|
|
12-16 invocation; 16-18 directions. |
|
IX-X. 22. |
Divination of Chons by vessel. |
|
|
9/1-10/9 invocation; 10/9-10/19 directions for use with medium; 10/20-10/22 for use alone. |
|
X. 22-35. |
Divination by vessel to see the bark of Ra, alone. 23-30 invocation; 30-35 directions. |
|
XI. |
Formula for acquiring praise and honour. |
|
|
1-21 invocation; 21-26 directions. |
|
XII. Eroticon. |
|
|
|
1-14 directions; 15-18 invocation; 18-27 alternative invocation; 27-31 further directions. |
|
XIII. |
To separate a man from a woman. |
|
|
2-9 invocation; 9-10 directions (? incomplete); 11-29 uses of shrew-mouse (?) and other animals, &c., for removing the man and procuring the woman. |
|
XIV. |
Divination by vessel with medium. |
|
|
2-16 invocation; 17-32 directions. |
|
| |
|
COLUMN XV. 1-20. |
Eroticon. |
|
|
1-8 directions; 8-20 invocation. |
|
XV. 21-23. |
Another eroticon. |
|
XV. 24-31. |
Formula for averting anger of a superior. |
|
|
25-28 Greek invocation; 29-31 demotic translation of the same. |
|
XVI. 1-14. |
Divination by lamp; invocation. |
|
XVI. 15-17. |
Invocation before the sun for success generally. |
|
XVI. 18-30. |
Divination by lamp with a medium. |
|
|
18-19 directions; 20-22 invocation; 22-30 further directions. |
|
XVII. 1-21. |
Another method of divination by lamp with medium. |
|
|
1-11 invocation; 11-21 directions. |
|
XVII. 21-23. |
Another method of the same. |
|
XVII. 24-26. |
Another method of the same. |
|
XVII. 27-XVIII. 6. |
Another method of the same. |
|
XVIII. 7-33. |
Divination by vessel with medium or alone. |
|
|
8-23 invocation; 24-33 directions. |
|
XIX. 1-9. |
Formula for the bite of a dog. |
|
|
1-8 invocation; 8-9 directions. |
|
XIX. 10-21. |
Formula for extracting poison from the heart of a man who has been made to drink a philtre. |
|
|
11-19 invocation; 19-21 directions. |
|
XIX. 21-32. |
Formula for a bone in the throat. |
|
|
22-28 invocation; 28-32 directions. |
|
XIX. 32-40. |
Formula for the bite of a dog. |
|
|
33-39 invocation; 39-40 directions. |
|
XX. 1-27. |
Formula for the sting of a scorpion (?). 2-13 invocation; 14-27 directions and invocation to the oil. |
|
XX. 27-33. |
Formula for a bone in the throat. |
|
XXI. 1-9. |
Divination by vessel through Osiris. 2-8 invocation; 8-9 directions. |
|
XXI. 10-43. |
Eroticon (a scarab in wine). |
|
|
10-20 directions; 20-43 invocations. |
|
XXII. 1-5. |
Divination by vessel for spirit summoning (incomplete). |
|
XXIII. 1-20. |
Formula to inflict catalepsy and death. |
|
|
2-8 directions; 9-20 Greek invocation. |
|
| |
|
COLUMN XXIII. 21-26. |
Vessel-divination by the moon. |
|
|
21-24 directions; 24-26 invocation. |
|
XXIII. 27-31. |
Another method of the same. |
|
XXIV. |
Various prescriptions for producing sleep, catalepsy, death, &c. |
|
XXV. 1-22. |
Divination by lamp with a medium. |
|
|
2-8 invocation; 9-22 directions. |
|
XXV. 23-31. |
Eroticon. |
|
XXV. 31-XXVI. 18. |
Eroticon. |
|
|
25/31-33 directions; 25/34-37 invocation; 26/1-18 alternative invocation. |
|
XXVII. 1-12. |
Divination by vessel with medium, for seeing the bark of Ra. |
|
|
1/9 invocation; 9-12 directions. |
|
XXVII. 13-36. |
Divination by lamp with medium. |
|
|
13-19 directions; 20-24 invocation; 24-36 prescription for eye-paint and further directions. |
|
XXVIII. 1-9. |
Divination by vessel, alone. |
|
|
1-4 invocation; 4-9 directions. |
|
XXVIII. 10-15. |
Another method of the same. |
|
XXIX. 1-20. |
Divination by the sun with medium. |
|
|
1-4 directions; 5-12 invocation; 12-17 alternative invocation; 17-20 further directions. |
|
XXIX. 20-30. |
Another method of the same. |
|
I. |
Names of plants. |
|
II. |
1-1,5. Names of plants and minerals. |
|
II. |
16-20. Prescription for sleeping draught. |
|
III. |
1-3. Another. |
|
III. |
4-13, 17-18. Names of minerals. |
|
III. |
14-16. Eroticon. |
|
IV. |
1-5. Prescription for the ears. |
|
IV. |
6-19. Names of animals and plants. |
|
V. |
1-3, 9-13. Prescriptions for haemorrhage in women. |
|
V. |
4-8. Prescription for ascertaining pregnancy. |
|
V. |
14-17. Names of plants. |
|
| |
|
VI-VII. |
Prescriptions for ailments of women. |
|
VIII-X. |
Prescriptions for gout. |
|
XI. |
Prescriptions for ailments of the feet. |
|
XII-XIV. |
Erotica. |
|
XV. |
Formula for thief-catching and against shipwreck (?). |
|
XVI. |
Eroticon. |
|
XVII. |
Formula for dreams. |
|
XVIII. |
Divination by lamp, or by the Fore-leg (Great Bear) Constellation. |
|
XIX. |
Formula for summoning a woman. |
|
XX. |
Prescription for ophthalmia (?). |
|
XXI. |
Formula for an eye-paint (?). |
|
XXII. |
Vessel-divination, alone. |
|
XXIII. |
Eroticon. |
|
XXIV. |
Lamp-divination. |
|
XXV. |
Eroticon. |
|
XXVI. |
Invocation for use in vessel-divination. |
|
XXVII. |
Invocation for the same (?). |
|
XXVIII. |
Directions for spirit-summoning (?). |
|
XXIX. |
Formula to produce madness. |
|
XXX. |
Erotica. |
|
XXXI. |
Invocation for use in lamp-divination. |
|
XXXII. |
Formula for producing love or death of a woman, and acquiring praise. |
|
XXXIII. |
Formula for removing fever. |
RESTORATIONS are placed in square brackets [ ]. Lacunae in the original, for which no restoration is suggested, are represented by dots. Words in round brackets ( ) are not in the original, but are added by the translators; those between angular brackets < > are intended to be omitted.
The second person singular has been rendered by 'thou, thee' in invocations, by 'you' elsewhere. In the very few instances in which the second person plural occurs, it is indicated by the use of 'ye' or 'you' (plur.); (bis) following a word indicates that the word is followed in the original by the sign sp sn, implying that the word or phrase is to be repeated.
An accurate transcription of the magic names is given in the transliteration; in the translation we have rendered the sound approximately without strict adherence to any one system, generally following the glosses where they exist, as it was thought that this would be the most useful course for such readers as are not Egyptian scholars.
For the system, see note preceding the demotic glossary. Words transliterated with Coptic letters between asterisks are written in cipher in the original.
In referring to the plates of the papyrus in vol. ii, Col. I. 1. i is quoted as 1/1 and verso, Col. II. I. 3 as V. 2/3, &c.
1:1 Lettres à M. Letronne sur les papyrus bilingues et grecs, par C. J. C. REUVENS. Leide, 1830. (Première lettre, Papyrus bilingues.)
2:1 Monuments égyptiens du Musée d’Antiquités des Pays-Bas à Leide: papyrus égyptien démotique à transcriptions grecques I. 383, publié par le Dr. CONRAD LEEMANS. Leide, 1839.
2:2 Der gnostische Papyrus von London, Einleitung, Text u. Demotisch-deutsches Glossar von J. J. HESS. Freiburg, 1892.
5:1 The horizontal lines on the recto are continuous for the whole length of the papyrus.