
THE Grimoire of Honorius is perhaps the most frankly diabolical of all the Rituals connected with Black Magic, and yet, as we have already seen, its enormities have been much exaggerated. It suffers comparison, for example, with the Key of Solomon, and it is preferable to the Lemegeton because it is less disguised. Its most evident objections are: 1. Profanation of the mysteries of religion. 2. A bloody sacrifice, characterised by details of a monstrous kind. A less manifest objection is the superstitious nature of some of its ordinances. It must be confessed that such a charge seems fantastic, having regard to the innumerable offices of vain observance with which I have been dealing. But a vain observance, it should be remembered, is not necessarily superstitious. To assume that a virtue is resident in parchment prepared from the skin of an animal which has not engendered, and that such virtue is wanting in the skin of one which has reproduced its species,

Click to view
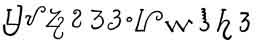
MYSTIC FIGURES FROM THE TITLE-PAGE OF THE "GRIMOIRE OF HONORIUS"
may have no foundation in fact, and may be eminently foolish, but it is not a superstitious assumption. It has been well pointed out by Éliphas Lévi that the term superstition signifies survival; that is to say, it is the sign surviving the idea. Thus, the Catholic doctrine of Transubstantiation, in its open theological sense, may or may not be true doctrine, but in neither case can the worship of the consecrated elements be superstitious, because such worship draws directly from the idea which has created the outward sign. If a time could be supposed when the Elements should continue to be worshipped after the doctrine itself had passed away, that would be a superstitious observance. But the etymological conception of superstition connects also with the idea of redundance. Thus, a double consecration of the Eucharistic elements would be a superstitious observance, as well as blasphemously absurd, because the first consecration is effectual by the theological hypothesis. But the repetition of the Angelical Salutation in the devotion of the Holy Rosary is not superstitious, because the first recitation is not necessarily effectual by the devotional hypothesis. So also the magical practice which consists with the magical hypothesis will not be superstitious, though it may not consist with reason. The slaughter of a kid with a view to securing a virgin parchment is not a superstitious but a precautionary or assumptive measure. The conversion of this slaughter into a sacrifice is not superstitious, because it has a purpose which consists with the magical hypothesis, namely, the increase of virtue by the consecration of the religious motive. The importation into such sacrifice of ceremonies which are not precautionary, and do not, by the hypothesis, increase the virtue, are redundant and so far superstitious. Such offices do not occur in the Grimoires, with the exception of that of Honorius, in which Ritual they are further characterised
by brutal features. The slaughter of a black cock and the extraction of the eyes, tongue and heart, which must be reduced into powder, and that powder subsequently sprinkled on the lambskin, is a redundant and monstrous observance. Were I therefore an occultist, with a belief in the efficacy of magical rituals, I should say that the Grimoire of Honorius must be avoided, but it should be unnecessary at the present day to warn any one against practices to which no one is likely to resort, which belong to the foolish mysteries of old exploded doctrines, and are interesting assuredly, but only as curiosities of the past. It should be added that the profanations of the mysteries of religion prescribed by the Grimoire of Honorius are not intentional profanations, and may be condoned to that extent. Their purpose is not outrage, but increase of efficacy.
Having made these initial provisions, the substance of this exceedingly curious Ritual may now be offered to the student in the words of its writer. It will be remembered that the person who desires to invoke the perverse "Spirits of Darkness" according to the method of Honorius must observe a three days' fast; he must further confess and approach the Holy Altar. He should also, by the hypothesis, be a priest of the Latin Church. After these three days, upon the morrow, and at the hour of sunrise, he shall recite the Seven Gradual Psalms, with the accompanying Litanies and Prayers, 1 the whole on his knees; further, he must drink no wine and eat no meat on that day. Next, he shall rise at midnight on the first Monday of the month, 2 and, seeing that he is apparently a priest, shall say a Mass of the Holy Ghost. 3
After the consecration, taking the Host in his left hand, he shall recite the following prayer on his knees:--
PRAYER
My Sovereign Saviour Jesus Christ, Son of the living God! Thou Who for the Salvation of all mankind didst suffer the death of the Cross; Thou Who, before being abandoned to Thine enemies, by an impulse of ineffable love, didst institute the Sacrament of Thy Body; Thou Who hast vouchsafed to us miserable creatures the Privilege of making daily commemoration thereof; do Thou deign unto Thine unworthy servant, thus holding Thy Living Body in his hands, all strength and ability for the Profitable application of that power with which he has been entrusted against the horde of rebellious spirits. Thou art their true God, and if they tremble at the utterance of Thy Name, upon that Holy Name will I call, crying Jesus Christ! Jesus, be Thou my help, now and for ever! Amen.
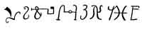
After sunrise, a black cock must be killed, the first feather of its left wing being plucked and preserved for use at the required time. The eyes must be torn out, and so also the tongue and heart; these must be dried in the sun and afterwards reduced to powder. The remains must be interred at sunset in a secret place, a cross of a palm in height being set upon the mound, while at each of the four corners the signs which here follow must be drawn with the thumb:--
A later edition substitutes the following signs:--
On this day also the operator should drink no wine and abstain from eating meat.
On Tuesday, at break of day, let him say a Mass of the Angels, 1 placing the feather taken from the bird upon the altar, together with a new penknife. The signs hereinafter represented must be inscribed on a sheet of clean paper with the consecrated wine which is the Blood of Jesus Christ:--
In an edition circa 1800 the following signs are substituted:--
They should be written upon the altar, and at the end of the Mass the paper should be folded in a new veil of violet silk, to be concealed on the morrow, together with the oblation of the Mass and a part of the consecrated Host. 2
On the evening of Thursday the operator must rise at midnight and, having sprinkled holy water about the chamber, he must light a taper of yellow wax, which shall have been prepared on the Wednesday and pierced in the form of a cross. When it is lighted he shall recite Psalm lxxvii. 1--Attendite, Popule meus, legem meam, &c.--without the Gloria Patri. He shall then begin the Office of the Dead with Venite exultemus Domino, &c. He shall recite Matins and Lauds, but in place of the versicle of the ninth Lesson 2 he shall say: Deliver us, O Lord, from the fear of hell. Let not the demons destroy my soul when I shall raise them from the deep Pit, when I shall command them to do my will. May the day be bright, may the sun and moon shine forth, when I shall call upon them. Terrible of aspect are they, deformed and horrible to sight; but do Thou restore unto them their angelic shapes when I shall impose my will upon them. O Lord, deliver me, from those of the dread visage, and grant that they shall be obedient when I shall raise them up from hell, when I shall impose my will upon them.
After the Office of the, Dead the operator shall extinguish the taper, and at sunrise shall cut the throat of a male lamb of nine days, taking care that the blood does not gush forth upon the earth. He shall skin the lamb, and shall cast its tongue and heart into the fire. The fire must be freshly kindled, and the ashes shall be preserved for use at the proper time. The skin of the lamb shall be spread in the middle of a field and for the space of nine days shall be sprinkled four times every day with holy water. On the tenth day, before the rising of the sun, the lambskin shall be covered with the
ashes of the heart and tongue, and with the ashes also of the cock. On Thursday, 1 after sunset, the flesh of the lamb shall be interred in a secret place where no bird can come, and the priest with his right thumb shall inscribe on the grave the characters here indicated:--
In the edition already cited the signs are varied thus:--
Moreover, for the space of three days he shall sprinkle the four corners with holy water, saying: Sprinkle me, O Lord, with hyssop, and I shall be cleansed! Wash me, and I shall be made whiter than snow!
After the aspersion let him recite the following prayer, kneeling with his face towards the east:--
PRAYER
Christ Jesus, Redeemer of men, Who, being the Lamb without spot, wast immolated for the salvation of the human
race, Who alone wast found worthy to open the Book of Life, impart such virtue to this lambskin that it may receive the signs which we shall trace thereon, written with Thy blood, so that the figures, signs and words may become efficacious; and grant that this skin may Preserve us against the wiles of the demons; that they may be terrified at the sight of these figures and may only approach them trembling. Through Thee, Jesus Christ, Who livest and reignest through all ages. So be it.
The Litanies of the Holy Name of Jesus must then be repeated, but instead of the Agnus Dei, substitute: Immolated Lamb, be Thou a Pillar of strength against the demons! Slain Lamb, give Power over the Powers of Darkness! Immolated Lamb, grant favour and strength unto the binding of the Rebellious Spirits. So be it.
The lambskin shall be stretched for eighteen days, and on the nineteenth day the fleece shall be removed, reduced into powder and interred in the same place. The word vellus shall be written above it with the finger, together with the following character and the words:--May this which hath been reduced into ashes preserve against the demons through the name of Jesus.
Or, according to the later edition:--
Add also these signs.--
Or, according to the later edition:--
Lastly, on the eastern side, the said skin must be set to dry in the sun for three days, the ensuing characters being cut with a new knife:--
This being accomplished, recite Psalm lxxi., Deus, judicium tuum regi da, &c., and cut the following characters:--
The figure being thus far completed, recite the verses Afferte Domino, patriæ gentium, occurring in Psalm xcv.: Cantate Domino Canticum novum, of which the seventh versicle is: Offerte Domino, Filii Dei, &c., and cut subsequently these characters:--
Next recite Psalm lxxvii.: Attendite, popule meus, legem meam, and compose the following figure:--
This being accomplished, recite Psalm ii.: Quare fremuerunt gentes populi meditati sunt inania? Then make another figure as follows:--
Or, alternatively:--
And recite Psalm cxv.: Credidi propter quod locutus sum. Finally, on the last day of the month a Mass for the Dead shall be offered; the prose shall be omitted and also the Gospel of St. John, but at the end of the Mass the priest shall recite the Psalm Confitemini Domino quoniam bonus, &c. 1
In Honour of the Most Holy and August Trinity, the Father, the Son, and the Holy Ghost. Amen.
The Seventy-two Sacred Names of God.--TRINITAS, SOTHER, MESSIAS, EMMANUEL, SABAHOT, ADONAY, ATHANATOS, JESU, PENTAGNA, AGRAGON, ISCHIROS, ELEYSON, OTHEOS, TETRAGRAMMATON, ELY, SADAY, AQUILA, MAGNUS HOMO, VISIO, FLOS, ORIGO, SALVATOR, ALPHA AND OMEGA, PRIMUS, NOVISSIMUS, PRINCIPIUM ET FINIS, PRIMOGENITUS, SAPIENTIA, VIRTUS, PARACLITUS, VERITAS, VIA, MEDIATOR, MEDICUS, SALUS, AGNUS, OVIS, VITULUS, SPES, ARIES, LEO, LUX, IMAGO, PANIS, JANUA, PETRA, SPONSA, PASTOR, PROPHETA, SACERDOS, SANCTUS, IMMORTALITAS, JESUS, CHRISTUS, PATER, FILIUS HOMINIS, SANCTUS, PATER OMNIPOTENS, DEUS, AGIOS, RESURRECTIO, MISCHIROS, CHARITAS, ÆTERNAS, CREATOR, REDEMPTOR, UNITAS, SUMMUM BONUM, INFINITAS. AMEN.
Hereinafter follow the three small pentacles of Solomon, and that of the Gospel of St. John.
The Beginning of the Holy Gospel according to John. Glory be to Thee, O Lord.
IN THE BEGINNING WAS THE WORD, &c., in extenso, so far as the end of the fourteenth versicle.
Thanks be to God. Hosanna to the Son of David! Blessed is He Who cometh in the Name of the Lord. Hosanna in the Highest. We invoke Thee. We adore Thee. We Praise. Thee. We glorify Thee, O blessed and glorious Trinity I May the Name of the Lord be blessed, now and henceforth for ever I Amen. In the Name of the Father, of the Son and of the Holy Ghost, Jesus of Nazareth, King of the Jews. May Christ conquer ✠, reign ✠, command ✠, and defend me from all evil. Amen.
267:1 The reference is probably to the Litany of the Saints and the various orations which follow it.
267:2 The three days' fast must therefore have been regulated so that it expired on the previous Saturday.
267:3 The Mass of Pentecost, except the Epistle, which should be that of the Tuesday after Pentecost, and the Gradual, for which there are special versicles.
269:1 The Mass for the Apparition of St. Michael, May 8, with a special Epistle, Gospel, Commemoration, &c.
269:2 I give this direction as I find it: the oblation is the bread and wine, and the sacrilegious reservation is the root-matter out of which the theory and practice of modem French Satanism has obviously arisen.
270:1 This Psalm is numbered lxxviii. in the Authorised Version.
270:2 This is extremely confused; the Office of the Dead does not begin with the Venite exultemus. The ninth Lesson belongs to the third Nocturne of the Matins. The prayer given in the Grimoire is based on the verses which it replaces.
271:1 The days on which the various operations should be performed have been confused, after the prevailing manner of the Grimoires.
274:1 At this point the process of the Grimoire becomes almost unintelligible. The recitation of the seventy-two names apparently succeeds the Psalm and is followed by the Second Gospel, which is not omitted after all. There is then an extension of the Dea Gratias, this concluded the Mass, which seems immediately followed by the evocation. But the use of the Pentacles of Solomon and St. John does not appear, in the one case, till the close of the Conjurations and not at all in the other.